Nov. 13, 2024
高強高模聚酰亞胺(PI)纖維具有突出的力學性能、耐高低溫、耐老化和低吸水、低介電、高絕緣等性能特點,是綜合性能優異、發展潛力突出的高性能有機纖維,能夠在航空航天及電力電子等領域發揮重要作用,是應用前景廣闊的關鍵材料。與現有的高性能有機纖維相比,PI纖維能夠彌補超高分子量聚乙烯纖維耐熱性低、抗蠕變性差的缺點,不存在芳綸纖維吸水率高、熱變形程度大的問題,耐環境特別是耐紫外輻照性能優于PBO纖維。
PI纖維工業化,最高等級產品拉伸強度達到4.0GPa。在擁有上述多項優勢的同時,PI纖維也存在有機纖維的共性問題。聚酰亞胺大分子鏈中交替分布著大量的由酰亞胺五元環和芳環構成的剛性共軛環狀結構,酰亞胺鍵連接的長直分子鏈段結構規整,具有高度穩定性,分子鏈間作用力強。上述結構特性使得PI纖維在具有較高強度和模量的同時,也導致PI纖維取向度高,分子鏈中極性基團向內反轉,纖維表面平整光滑,PI纖維整體表現為低表面能、高度疏水和化學惰性。高性能纖維的主要應用方向之一是作為復合材料增強相使用。PI纖維的表面特性不利于樹脂基體的浸潤與復合。與樹脂固化制成復合材料后,PI纖維與樹脂基體間的界面結合效果也會受此影響,樹脂基體無法將作用力充分傳遞至增強纖維,進而導致纖維至復合材料性能轉化率低。此外,PI纖維與一般有機纖維的形態結構類似,存在原纖排布構成的皮芯結構,纖維皮層及芯層的性能差異與結合狀同樣會導致復合材料在受到層間剪切及橫向拉伸作用力時容易出現脫黏及剝離現象,為復合材料性能帶來不利影響。針對這一問題,當前主流的解決方法為纖維表面改性,大體可分為物理改性與化學改性。化學改性主要通過在纖維表面引入反應基團的方式提高其極性與反應活性,物理改性則使用等離子體、電暈、高能粒子束等手段對纖維表面進行重構,改善表面性能。
氣體吸收了一定的能量后會因為產生分子離解和原子電離的現象而變成準中性熱力學系統,也就是廣義上的等離子體。等離子體處理可以去除附著于基材表面上的異物,并使被處理表面形成極性基團(羰基、羥基、羧基等)。該過程可以使基材表面清潔,并獲得親水化的效果。同時附著于基材表面的極性基團增加基材表面張力,從而增強基材表面可粘合性。隨著等離子體處理技術的不斷進步,在纖維表面改性領域應用該項技術的研究逐漸增多。
等離子體表面處理對纖維表面形貌的影響分析
等離子體處理前后的PI纖維樣品表面微觀形貌如圖1所示,從SEM圖像中可以看出未經處理的空白對照組PI-0的纖維表面除少量黏附物外整體平整光滑,無明顯起伏凹凸結構,原纖排布形成的溝槽紋理不明顯;經過等離子體表面處理的樣品纖維表面黏附物增多,隨著處理時間延長進一步出現溝槽紋理加深,皮層原纖出現微裂紋及部分剝離,纖維皮層沿軸向開裂等現象。

圖 1 PI纖維等離子體表面處理前后的SEM照片(a)PI-0;(b)PI-2;(c)PI-4;(d)PI-6;(e)PI-8;(f)PI-10
從物理形貌角度觀察,PI纖維表面的介觀形態在等離子體處理前后變化非常明顯。處理時間為2min的PI-2組纖維表面出現顆粒狀凸起,黏附物增多。分析原因可能是對纖維表面等離子體處理形成了清理效果,生成了表面能較高的新鮮表面,吸引大氣中的雜質粘附在纖維表面;處理時間為4min的PI-4組纖維表面出現較為明顯的凸起及凹槽結構,原纖排布紋理與未處理樣品相比更加清晰,表明處理達到一定程度后纖維表面粗糙度明顯上升;隨著處理時間的增加,PI纖維的表面形貌變得越來越復雜,PI-6組纖維皮層出現不規則裂紋,纖維邊緣較為明顯的原纖紋理已不再完全沿軸向均勻排布,部分原纖發生扭曲及斷裂現象;處理時間達到8min后,PI-8組纖維表面出現明顯的皮層剝離現象,皮層下裸漏的原纖有部分區域存在加熱熔融后生成的顆粒狀產物;處理時間最長的PI-10組纖維皮層沿軸向大范圍開裂,纖維表面還能觀察到原纖斷裂剝離后遺留的溝槽,可能的原因是:一方面為纖維受等離子體處理后表面過度刻蝕造成損傷,皮層完整性與強度有所下降,更容易遭受破壞;另一方面纖維皮層及芯層受熱程度及橫向熱膨脹存在差異導致纖維本體出現內部應力,上述兩方面原因共同作用引發纖維皮層開裂。
從纖維增強樹脂基復合材料的結構特點分析,纖維表面粗糙度增加有利于樹脂基體對纖維束的浸潤,強化兩者復合后的界面結合效果,提高復合材料性能;另一方面纖維過度處理后會遭受程度較為嚴重的表面損傷,不僅會造成纖維本身性能下降,制成復合材料后還可能成為內部缺陷,引發應力集中,進而導致材料破壞。
等離子體表面處理對PI纖維與環氧樹脂浸潤效果的影響
通過動態接觸角測試表征等離子體改性前后環氧樹脂對PI纖維浸潤效果的變化,測試結果如圖2所示。根據測試結果可知,未經等離子處理的空白對照組PI-0纖維在環氧樹脂液體中的接觸角為137°;隨著等離子體表面處理時間的增加,改性后的PI纖維在環氧樹脂液體中的接觸角呈現下降趨勢;等離子體處理10min的PI-10實驗組纖維的接觸角下降到44°,下降幅度達到76.9%。測試結果表明大氣等離子體表面處理能夠改善環氧樹脂對PI纖維的浸潤效果;此外在本試驗條件下,隨著等離子體處理時間增加,環氧樹脂對PI纖維的浸潤效果越好。

圖 2 等離子體處理前后的PI纖維與環氧樹脂的接觸角
PI-2及PI-4實驗組經歷等離子體表面處理的時間較短,環氧樹脂對其浸潤性上升的主要原因為粗糙度提高及纖維比表面積增大,此外處理后PI纖維表面極性狀態的改變會引發PI纖維表面自由能極性分量增加,也能夠起到改善PI纖維與樹脂基體界面結合效果的作用。根據纖維表面形貌表征結果,PI-6及PI-8實驗組纖維表面已出現皮層微裂紋及原纖斷裂現象,一方面這些損傷結構能夠在相當程度上提高纖維比表面積,增強環氧樹脂對PI纖維的浸潤效果,表現在測試中即為動態接觸角的顯著減小;另一方面樹脂基體與這些損傷區域復合后可能成為材料中的缺陷點,導致應力集中,最終對復合材料的力學性能造成不利影響。處理時間最長的PI-10實驗組纖維皮層出現大范圍開裂,且由于纖維皮-芯受熱膨脹程度差異導致纖維皮層與芯層間存在間隙,樹脂基體能夠沿裂紋進入纖維內部,故此該組纖維動態接觸角明顯小于其他實驗組。但過度處理會進一步減弱纖維皮層與芯層間的橫向結合力,復合材料承受載荷時可能引發纖維皮層剝離脫落,導致復合材料因非常規模式提前破壞。
等離子體表面處理對纖維/樹脂界面結合強度及PI纖維本體性能的影響
選取絲束橫向拉伸測試及纖維單絲強度測試分別表征等離子體處理前后PI纖維與樹脂基體的界面結合強度及PI纖維性能變化,測試結果如表4所示。通過對比纖維表面改性前后的測試結果,可以發現經過處理的實驗組纖維與樹脂基體的界面結合強度均獲得了不同程度的提高,其中處理時間最短的PI-2實驗組界面結合強度上升幅度較小,這一結果與浸潤性測試結果大體一致,較短的處理時間不足以改變PI纖維表面光滑及化學惰性的特點,對浸潤效果及后續界面結合帶來的幫助相對有限。PI-4及PI-6實驗組纖維表面形貌均出現了程度較大的不可逆變化,纖維與樹脂間的界面結合強度提升明顯,且與處理時間呈正相關趨勢。這表明等離子體表面處理對纖維與樹脂基體的黏附結合狀態具備改善調節作用。PI-8與PI-10實驗組的絲束橫向拉伸測試結果與浸潤性能測試結果不一致,較好的樹脂浸潤效果未能有效轉化為更理想的界面結合強度,結合纖維表面介觀形態變化的特點,分析其原因應為過度處理引發的損傷效應抵消乃至超過浸潤效果提升造成的有利影響,其中PI-10實驗組的界面結合強度低于PI-8實驗組,僅略高于未經過等離子處理的PI-0實驗組。

等離子體表面處理對PI纖維增強復合材料性能的影響
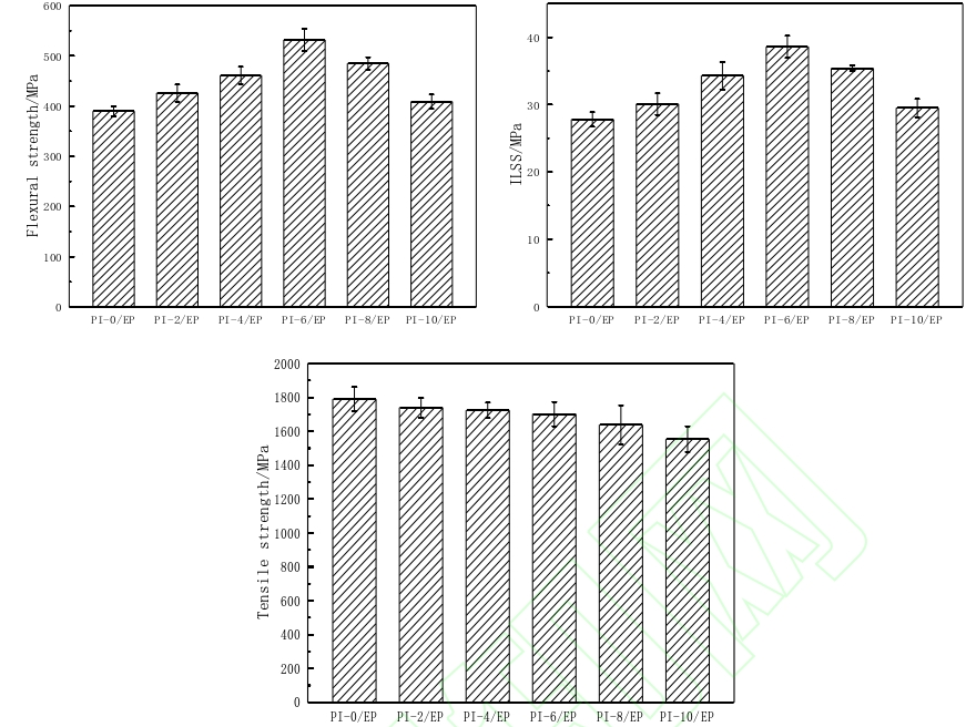
選取彎曲強度及層間剪切強度及拉伸強度作為等離子體處理前后PI纖維增強復合材料宏觀力學性能的考察項目,測試結果如圖4所示。PI纖維增強復合材料的彎曲強度及層間剪切強度變化規律與絲束橫向拉伸測試結果基本一致。隨著等離子體處理時間的增加,復合材料彎曲及層間剪切強度也逐漸提高,當等離子體處理達到一定時長后復合材料性能轉而下降,其中PI-6實驗組彎曲強度及層間剪切強度最高,分別為532MPa及38.6MPa,相比于空白對照組的390MPa及27.8MPa,提高幅度約為36.41%及38.85%。
從拉伸強度測試數據來看,處理時長較短的PI-2、PI-4及PI-6實驗組拉伸性能受到的影響相對較小,強度降幅低于5%;隨著處理時長進一步增加,復合材料拉伸性能受到的影響增強,PI-10實驗組拉伸強度為1554MPa,與空白對照組1790MPa的結果相比下降13.18%。

圖 4 PI/EP復合材料等離子體處理前后彎曲、層間剪切(ILSS)及拉伸強度
結合前文所述絲束橫向拉伸試樣破壞面的表面介觀形態變化,分析等離子體處理后PI纖維增強復合材料綜合力學性能增強的原因為:樹脂基體對PI纖維束浸潤充分,改善了兩者的復合效果,增強了PI纖維與樹脂基體之間的界面結合強度,使得材料承受的載荷能夠更全面均勻的通過環氧樹脂基體將應力傳遞至PI纖維增強體,彎曲及層間剪切強度相應提升;拉伸強度受纖維強度損失與界面改善效果的綜合作用,后者能夠對前者帶來的不利影響起到一定的補償作用,故此復合材料拉伸強度未出現明顯下降。等離子體過度處理的PI纖維增強復合材料性能下降主要源于破壞模式的改變,該模式下PI纖維與樹脂的界面結合強度已不再是影響復合材料性能的主控因素,PI纖維本身的狀態起到更為重要的核心作用。PI-8及PI-10實驗組處理時間過長,纖維表面受損嚴重,與樹脂復合后容易形成缺陷,產生應力集中,纖維表面原纖及皮層提前破壞導致復合材料力學性能下降。
盡管過度處理會導致PI纖維增強復合材料性能下降,但即便是降幅最大的PI-10實驗組復合材料的彎曲強度及層間剪切強度測試結果仍優于空白對照組。這表明PI纖維的等離子體表面改性效果能夠影響復合材料的宏觀力學性能,改善PI纖維與樹脂基體間的界面結合效果。前述測試表征結果與復合材料力學性能變化情況也說明這種表面改性處理是可控的且具備一定規律性。合理適當的纖維表面處理能夠在一定程度上解決PI纖維在復合材料領域的部分工程化應用問題。
Nov. 17, 2025
Nov. 15, 2025
Nov. 15, 2025
Nov. 13, 2025
Copyright@ 2024深圳納恩科技有限公司 All Rights Reserved|
Sitemap
| Powered by
| 粵ICP備2022035280號www.pzdwgk.cn | 備案號:粵ICP備2022035280號www.pzdwgk.cn