Dec. 20, 2025
ePTFE是通過PTFE分散樹脂不添加任何物質機械拉伸制備而成的,所以它保留了PTFE所有的優良性能,具有極其良好的化學穩定性、耐化學腐蝕性、耐氣候性、高潤濕、不粘附、優異的生物相容性、無毒害、電絕緣性、無塵性等眾多優異性能,同時它還具有寬廣的耐高低溫性能,在-180℃至260℃溫度范圍內可以長期使用;ePTFE除了保留PTFE所有的優異性能外,還具有孔徑小、孔徑分布均勻、孔隙率高、薄膜強度高、防水、透氣、透濕、防塵、防風保暖的效果。因此,ePTFE在紡織面料、電纜及電纜組件、電子元件與電化學材料、纖維產品、過濾產品、醫療產品、密封產品等領域有著廣泛的應用。
PTFE具有低的表面能,很難將ePTFE膜與其他材料粘接在一起,所以需要對ePTFE膜表面進行改性。等離子體改性時不會改變PTFE本體的機械性能以及其他的自身屬性。并且可以根據 不同的等離子體處理氣體,不同的激發方式可以獲得不同的特征表面,具有可操作性。為了改善ePTFE膜的粘接性能,利用低溫等離子體對ePTFE膜進行改性處理,以期提高其表面能。
圖1顯示了ePTFE膜的表面WCA隨等離子體處理功率的變化。從圖1可以看到,未處理的ePTFE膜的表面水接觸角為142°,表現出高的疏水性,這是PTFE表面的化學結構和ePTFE膜的節點-纖維的粗糙結構導致的。經過空氣和He氣低溫等離子體處理后,ePTFE膜的表面WCA隨著射頻功率的增加逐漸降低。這是因為隨著射頻功率的增加,等離子體被激發產生的離子、電子等活性粒子的能量密度增加,對ePTFE膜表面沖擊作用的強度和概率增加,使其表面WCA減小。同時可以清楚的看到,He氣和空氣對ePTFE膜的改性效果區別很大,前者明顯優于后者。He等離子體在300W處理1min后,ePTFE膜的表面WCA降低至44.6°,表現出強的疏水性能,繼續增加射頻功率,WCA保持穩定;而通過空氣等離子體在300W處理1min后,ePTFE膜表面WCA為108°,仍表現出疏水特性,即使將等離子射頻功率增加到400W,其WCA也僅下降到91°,未能達到親水效果。這證明在相同處理條件下,He氣等離子體處理效果是明顯優于空氣等離子體的。
等離子體處理PTFE一般會引起脫氟、斷鍵,引入碳氫鍵、含氧基團等極性基團,從而破壞了PTFE的對稱性,改善親水性和濕潤性能。空氣的主要成分是氮氣和氧氣,氮氣和氧氣等離子體中含有大量的活性粒子,一般包含激發態氮分子、氧分子、氮原子和氧原子,這些活性粒子可以發生氧化刻蝕作用,特別是刻蝕作用極強。空氣等離子體處理ePTFE膜時,由于其中大量活性粒子的作用,PTFE被強烈刻蝕的同時也發生了一系列的氧化反應。但在空氣等離子處理時,ePTFE膜的WCA降低較小,這是因為刻蝕作用占比較大,氧化作用占比較小,ePTFE膜中的化學鍵較少,非極性改變不大,導致接觸角有一定減小,但減小幅度較小。He氣是一種惰性氣體,He氣是等離子體處理中的一種非反應性氣體,He原子不能直接接枝到高聚物表面的大分子鏈中,但由于He氣等離子體中高能粒子轟擊ePTFE膜表面時可以使C-C鍵和C-F鍵發生斷裂,在材料表面產生大量自由基,PTFE在He等離子體處理后產生的新自由基保持時間較長,這就使得處理完成后,空氣中的氧氣能與自由基發生作用,產生大量的極性基團,從而使PTFE的極性增加,親水性增強。

圖1ePTFE膜的表面WCA隨等離子體處理功率的變化
除了射頻功率的影響,等離子體處理時間也是影響ePTFE膜表面水接觸角的主要因素。圖2顯示了在300W的射頻功率情況下,等離子體處理時間對ePTFE膜表面WCA的影響。從圖中可以看到,當處理氣體為He氣時,ePTFE膜的表面WCA在短時間內急劇的降低,但隨著處理時間的繼續增加,WCA保持穩定。這是因為,1min的處理時間足以保證He等離子體對PTFE中C-C鍵和C-F鍵的沖擊,使其表面大部分的鍵斷裂,當時間進一步增加,ePTFE膜表面已經無法提供更多的化學鍵。而當處理氣體為空氣時,ePTFE膜的表面水接觸角的下降幅度有限,雖然隨著處理時間的增加逐漸降低,但即使處理時間增加到10min,ePTFE膜的表面水接觸角仍高達81°。這再一次證明了He氣等離子體對ePTFE膜的處理效果顯著優于空氣等離子體。

圖2 等離子體處理時間對 ePTFE膜表面WCA的影響
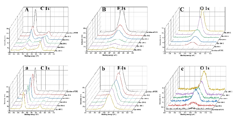
為了進一步的研究等離子體處理對ePTFE膜表面性能的影響,通過XPS對等離子處理后的ePTFE膜進行了表征,其結果顯示在圖3中。從圖3A和3a中可以看到,處理前的ePTFE膜C1s電子的XPS譜圖中只有一個峰,在290.7eV處,對應著PTFE中C-F鍵中的C元素。由于氟原子體積較大,C-F鍵長較短,使較大的F原子緊密地堆砌在C-C鏈骨架周圍,形成了一個緊密的“氟代”保護層,所以在XPS測試中未能顯示出C-C鍵中的C元素。當等離子處理氣體為He氣時(5.6A),隨著射頻功率的增加,C-F鍵對應的C1s電子峰的強度呈現出先減小后趨于平穩的趨勢;同時可以看到,經過等離子體處理后的ePTFE膜表面在283.6eV處的C-C鍵對應的C1s電子峰逐漸顯現,并隨著射頻功率的增加逐漸增加后趨于平穩。這是因為經過He氣等離子體處理后,ePTFE膜中的C-F鍵斷裂產生自由基,C-F鍵中的C1S峰強度逐漸減小。同時C-F鍵的斷裂使原本被“氟代”保護層圍繞的C-C鍵逐漸顯現出來,被XPS捕捉到,C-F鍵斷裂的越多,C-C鍵就暴露的越多,所以其呈現出與C-F鍵中的C1s相反的趨勢。經過空氣等離子處理后的ePTFE膜表面的C1s電子的XPS譜圖也呈現出與He其等離子體相似的規律,但可明顯的觀察到C1s電子峰的強度變化較小,如圖3a所示。

圖3 等離子處理后的ePTFE膜 XPS圖譜
圖3B和3b中,所有樣品的F1s電子的XPS譜圖中都只有一個峰,在687.2eV附近,經過等離子體改性后的ePTFE膜中的F1s電子峰的峰面積和強度都下降了。并且隨著射頻功率的增加,其強度和峰面積逐漸降低,但He氣等離子體處理后的樣品下降幅度較大,而空氣等離子體處理后的樣品下降幅度非常的小。圖3C和3c分別顯示了經過He氣等離子體和空氣等離子體處理后的ePTFE膜的O1s電子峰。原始的ePTFE膜中沒有出現O1s的電子峰,而經過等離子體處理后,在531.5eV處出現了O1s電子的XPS峰,這說明等離子體處理后的ePTFE膜表面引入了氧元素,并且隨著射頻功率的增加,O1s的電子峰面積和強度逐漸增加,氧元素的含量逐漸增加。
圖4a、4b和4c分別比較了He氣等離子體和空氣等離子體在相同的射頻功率和處理時間下的ePTFE膜表面的F1s、O1s和C1s電子的XPS譜圖。從圖中可以看到,無論是F1s、O1s還是C1s電子峰面積和強度,He氣等離子體處理后的ePTFE膜的變化幅度都是明顯高于空氣等離子體的。例如,原始ePTFE膜的F1s的電子峰強度為86307c/s,經過空氣等離子體處理后的電子峰強度為63565c/s,僅下降了26%;而經過相同射頻功率和處理條件的He氣等離子體處理后的ePTFE膜的F1s的電子峰強度僅為8658c/s,相比于原始ePTFE膜,強度下降了90%,是空氣等離子體處理后下降幅度的近4倍。同時,對空氣和He氣等離子體處理后的ePTFE膜的C1S電子譜圖進行對比還可以發現,He等離子體處理后的ePTFE膜表面的C1s電子譜圖比較復雜,明顯是由5個不同的峰組合而成,對其利用CasaXPS軟件進行分峰操作,其結果顯示在圖4d中,這五個峰從高到低分別對應293.2eV處的C-F鍵、291.5eV處的C=O-O鍵、288.0eV處的C=O鍵、286.0eV處的C-O鍵和284.6eV處的C-C鍵。這些含氧基團的產生是由于經過He等離子體沖擊后,C-F發生斷裂形成大量的自由基,處理完成后,空氣中的氧氣與自由基發生作用而產生的。正是因為大量的含氧基團的產生,使經過He氣等離子體處理后的ePTFE膜表面的O1s的電子峰面積和強度大幅提高,使ePTFE膜表面由處理前的非極性變為強極性,從而使ePTFE膜表面呈現出高親水性,水接觸角較小。而經過空氣等離子體處理時,刻蝕作用占比較大,氧化作用占比較小,ePTFE膜表面氧元素的增加量非常少,非極性改變不大,導致表面水接觸角值雖有一定減小,但減小幅度較小。

圖4
通過上述的分析可以得出以下結論:經過等離子體對ePTFE膜表面進行處理后,膜表面的含氧基團增加,材料的極性增加,使其接觸角明顯減小,表面能增加,從而提高粘接性。
Dec. 20, 2025
Dec. 20, 2025
Dec. 20, 2025
Dec. 16, 2025
Copyright@ 2024深圳納恩科技有限公司 All Rights Reserved|
Sitemap
| Powered by
| 粵ICP備2022035280號www.pzdwgk.cn | 備案號:粵ICP備2022035280號www.pzdwgk.cn